Nader se impuso en el Patagónico de enduro
La segunda fecha se cumplió en el circuito de Riscos Bayos, con una gran cantidad de participantes.

Nair Nader consiguió una tan ajustada como valiosa victoria en seniors A en el regreso a la actividad del Patagónico de enduro, que después de una pausa obligada pr las restricciones sanutarias se cumplió ayer con una interesante cantidad de pilotos en el circuito de Riscos Bayos.
Después del estreno pasaron casi cinco meses sin actividad, por lo que se reprogramó el certamen y el regreso fue éxitoso, con cerca de 150 participantes entre todas las categorías y un entretenido espectáculo, que se completó con el minienduro.
Nader completó las tres vueltas al circuito en 1h 38m 41s 80/100, lo que le permitió superar a Nicolás Giustozzi, con el que peleó la victoria desde el comienzo de la prueba, por sólo 16s 30/100. Completaron Lucas Godoy, otro que anduvo bien, a 27s 74/100; Santiago Bazano; Marcos Giustozzi, y Santiago Rostan.
En seniors B, esta vez con pocos participantes, ganó Pablo Salazar, con 1h 47m 38s 60/100. Quedó segundo Martín Basignani, a 50s 39/100. Completaron Agustín Pedersen y Mariano Kostzutski.
Mauro Gret ganó en juniors A, con un tiempo de 1h 14m 34s 63/100. Lo siguieron Matías Ramos, Lucas Gret, David Keller, Manuel Eiras y Juan Sattolo. En la B triunfó Carlos Polo Villalba, con 1h 19m 38s 55/100. Más atrás, Guido Sepúlveda, Joaquín Pedersen, Carlos Montiel, Germán Gómez y Marcelo Gaercía.
En masters A mandó Jorge Pascual, con 1h 13m 38s 48/100. Luego, Ricardo Figueroa, Bruno Vega, Carlos Oyarzo, Mauro Monroy y Norberto Hernández. En la B prevaleció Marcos Santana, con 1h 18m 57s 80/100, escoltado por Ricardo Zuber, Fabio Gardel, Cristian Maurín, Franco Billia y Martín Visentín.





En masters C se impuso Rodolfo González, quien en un impecable trabajo relegó a Daniel Pousset, Daniel Dalla Torre, Rubén López, Fabricio Garza y José Mantica.
Ronald García hizo un buen trabajo en masters promo, donde aventajó a Ariel Reyes, Néstor Ruiz, Rubén Pedrosa, Mariano Aiassa, y Javier Carazo.

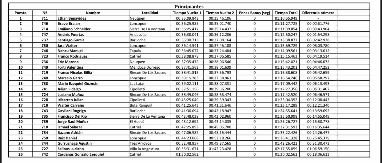
En principiantes la victoria quedó para Ethan Benavidez. Lo escoltaron Braian Bravo, Emiliano Schneider, Andrés Puentes, Santiago García y Wálter Jara. En veteranos se impuso Leandro Weiss, quien superó a Marcio López Jové, Wálter Grill y Jorge Montero.

Nair Nader consiguió una tan ajustada como valiosa victoria en seniors A en el regreso a la actividad del Patagónico de enduro, que después de una pausa obligada pr las restricciones sanutarias se cumplió ayer con una interesante cantidad de pilotos en el circuito de Riscos Bayos.
Registrate gratis
Disfrutá de nuestros contenidos y entretenimiento
Suscribite por $1500 ¿Ya estás suscripto? Ingresá ahora