El municipio de Roca solo recibió tres ofertas en su última venta de terrenos
Este miércoles se realizó la apertura de sobres en el Concejo Deliberante.
El municipio de Roca tuvo resultados poco favoceredores en su último intento por desprenderse de terrenos ociosos. Solo recibió tres ofertas en la segunda venta directa que organizó durante este año.
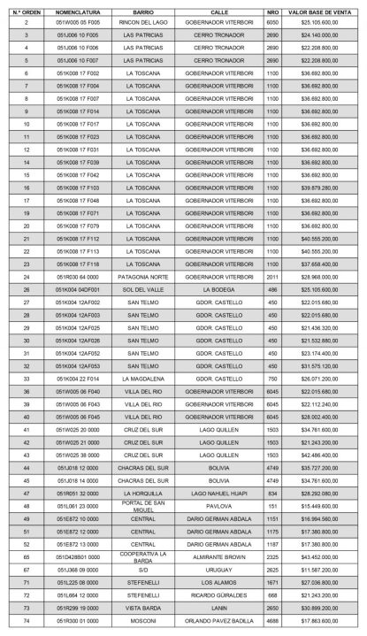
En total se ofrecieron 48 inmuebles, los cuales habían quedado vacantes de la venta directa organizada en noviembre. En aquella instancia, la comuna logró desprenderse de unos seis terrenos.
La modalidad fue por medio de la presentación de sobres cerrados, los cuales fueron abiertos este miércoles en el salón de reuniones del Concejo Deliberante.
En esta oportunidad se recibieron tres ofertas, con valores referenciados sobre la base establecida. Sin embargo, solo dos oferentes se encontrarían en condiciones de cerrar la compra.
Estos lotes formaron parte del total de 77 sometidos a subasta pública en agosto, donde la administración de María Emilia Soria obtuvo ingresos por $620.080.666. Si bien se catalogó aquella instancia de remate como «exitosa», solo lograron desprenderse de 23 predios municipales.
El interés principal del Ejecutivo es delindarse de los altos costos de mantenimiento que representan estas tierras ociosas. Oficialmente se mencionó que algunos predios están sujetos al pago de expensas a los consorcios de barrios privados.
Desde el municipio aclararon, además, que «por su alto valor de mercado no resultan aplicables a loteos sociales u otros planes habitacionales«.
Venta de terrenos en Roca: cuáles eran los precios de base y dónde se ubican
La mayor parte de los terrenos se ubican en los barrios cerrados de: San Telmo, Rincón del Lago, Chacras del Sur, La Toscana, Las Patricias, La Magdalena, Sol del Valle, Portal de San Miguel, Patagonia Norte,La Horquilla, Cruz del Sur y Villa del Río.
Por su parte, unos nueve pertenecen a barrios abiertos como: Mosconi, Stefenelli, Central, Cooperativa La Barda, Japonés y Vista Barda.

El municipio de Roca tuvo resultados poco favoceredores en su último intento por desprenderse de terrenos ociosos. Solo recibió tres ofertas en la segunda venta directa que organizó durante este año.
Registrate gratis
Disfrutá de nuestros contenidos y entretenimiento
Suscribite por $1500 ¿Ya estás suscripto? Ingresá ahora
Comentarios