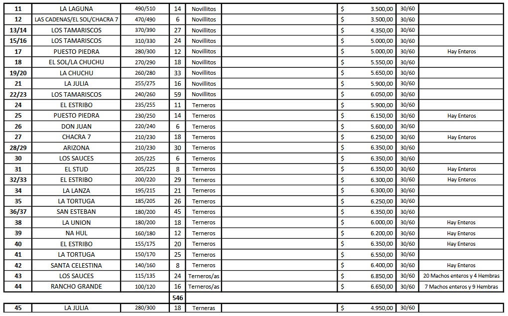
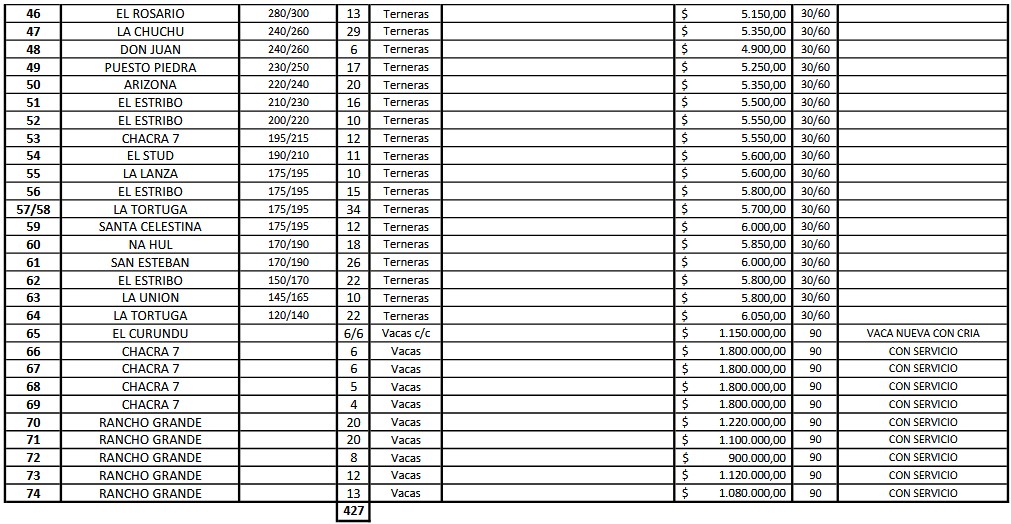
Precios firmes y en alza para la hacienda: en Choele Choel se pagó un tope de $ 6.850 el kilo de ternero
Ese valor fue convalidado para un lote de 20 terneros y 4 terneras de entre 115 y 135 kg. La subasta fue realizada por la firma Lesiuk Hnos. y fue la previa a la despedida de año el 12 de diciembre en General Conesa.
Con un poco más de 1.000 cabezas encerradas finalizó el anteúltimo remate de la firma Lesiuk Hnos. y Friagro en instalaciones de la Sociedad Rural de Choele Choel con ventas firmes y valores sostenidos para la hacienda presentada en esta oportunidad.
La firma consignataria confirmó en esta jornada de ventas que el próximo 12 de diciembre, en la Sociedad Rural de General Conesa, llevará a cabo el último remate del año.
Respecto de las ventas, la demanda convalidó valores firmes con topes de $6.850 para un lote puntual de terneros y terneras de 115 a 135 kg. promedio, lo que reafirma una tendencia creciente en precios para la hacienda local, ya incluso por encima de los que se pagaban antes de que se anunciara la resolución 180 en marzo de este año respecto de la flexibilización de la barrera sanitaria.
En ese momento, tras el anuncio de la medida del gobierno nacional los valores de la hacienda cayeron hasta un 30%, y de a poco se fueron recuperando en los sucesivos remates realizados por las firmas consignatarias.
A continuación, todos los precios alcanzados en el remate de hoy en la Sociedad Rural de Choele Choel:



Con un poco más de 1.000 cabezas encerradas finalizó el anteúltimo remate de la firma Lesiuk Hnos. y Friagro en instalaciones de la Sociedad Rural de Choele Choel con ventas firmes y valores sostenidos para la hacienda presentada en esta oportunidad.
Registrate gratis
Disfrutá de nuestros contenidos y entretenimiento
Suscribite por $1500 ¿Ya estás suscripto? Ingresá ahora
Comentarios
Estimados/as lectores de Río Negro estamos trabajando en un módulo de comentarios propio. En breve estará habilitada la opción de comentar en notas nuevamente. Mientras tanto, te dejamos espacio para que puedas hacernos llegar tu comentario.
Gracias y disculpas por las molestias.
Comentar